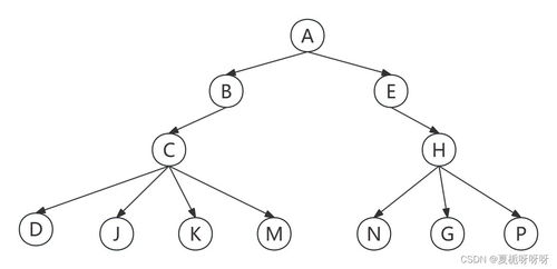
从零开始,带你读懂二叉树理论 本文以个人视角深入浅出地介绍了二叉树理论的核心概念、特性及实际应用,适合初学者了解和掌握这一重要数据结构。 简书热点 2025年02月20日 12:26 0 点赞 0 评论 84 浏览
边学习边闲侃(65):一个普通人的成长之旅 本文讲述了一个人通过学习编程实现自我成长的真实故事,分享了他在学习过程中的心得与感悟,以及如何在工作、家庭和学习之间找到平衡的方法。 简书热点 2025年02月13日 21:51 0 点赞 0 评论 76 浏览
数组的应用:查询问题的深度解析与实战技巧 本文深入探讨了数组的应用,特别是如何高效地解决查询问题。通过实际案例和性能优化技巧,帮助读者掌握数组查询的核心方法。 简书热点 2024年12月09日 02:07 0 点赞 0 评论 222 浏览
趣味数学:两数之积与两数之和相加的奇妙世界 本文从日常生活中常见的加法和乘法出发,探讨了两数之积与两数之和相加的数学问题,通过具体的例子和表格展示了这一概念的规律,并介绍了其在编程和金融领域的实际应用。 简书热点 2024年12月02日 18:06 0 点赞 0 评论 92 浏览
Java实现输出100000以内的质数及算法优化:我的学习历程 本文详细介绍了如何用Java实现输出100000以内的质数,并探讨了几种不同的算法优化方法,包括暴力破解法、平方根优化以及埃拉托色尼筛法。通过实际案例分享,帮助读者更好地理解和掌握相关知识。 简书热点 2025年03月08日 13:51 0 点赞 0 评论 59 浏览
5个有趣的Python脚本,让你的生活更有趣! 这篇文章详细介绍了五个有趣的Python脚本,包括自动化发送邮件、爬取网页数据、制作个人日程表、图像处理和游戏开发。通过一个小明的故事,让读者了解这些脚本的功能和应用场景。 简书热点 2025年02月23日 19:06 0 点赞 0 评论 78 浏览
Python常用基础语法知识点大全:从零开始的编程之旅 本文以简书平台上的热搜内容为核心,详细介绍了Python基础语法中的变量、数据类型、条件语句、循环结构、函数定义、列表字典操作以及异常处理等内容,适合初学者学习。 简书热点 2025年02月16日 16:01 0 点赞 0 评论 75 浏览
行百里者半九十:AI辅助编程只能帮你走到70% 作为一名程序员,我亲身经历了AI辅助编程带来的便利与挑战,本文将分享我的真实体验,探讨AI在编程领域的局限性。 36KR热点 2025年01月12日 00:41 0 点赞 0 评论 80 浏览
从零开始,Java基础扩展的那些事儿 本文以一位程序员小李的视角,详细介绍了他在学习Java基础扩展过程中的心得与体会,包括初识Java基础扩展、学习方法与技巧、遇到的挑战与解决之道以及未来的计划等方面的内容。 简书热点 2025年02月18日 10:06 0 点赞 0 评论 66 浏览
写代码的时候总是考虑太多怎么办?程序员的自我救赎指南 本文从小张的角度出发,详细讲述了他在编程过程中遇到的过度思考问题,并提供了多种实用的解决方法,包括寻求专业帮助、培养兴趣爱好、掌握搜索技巧以及注重代码可维护性等。 知乎热点 2025年01月31日 03:35 0 点赞 0 评论 67 浏览