河南高考分数线出炉,文科一本521分!家长和考生都在热议什么? 2024年河南高考分数线公布,本科一批文科521分,理科511分。本文以真实视角解析分数线变化原因,并提供志愿填报建议及考生家长心声。 微博热点 2025年06月24日 23:06 0 点赞 0 评论 75 浏览
2025考研国家线发布:考研人的忐忑与准备 2025年考研国家线即将在3月中旬公布,本文通过一位考生的视角,探讨了考研人在出分后的心理状态及复试准备工作,并结合历年数据对国家线进行了预测。 微博热点 2025年02月24日 16:37 0 点赞 0 评论 86 浏览
今年中九院校有哪些?看贴吧老哥的专业分析 在高考选校之际,关于上九、中九等院校的概念备受关注。本文依据贴吧老哥的判断,为大家揭示今年哪些院校可能是中九院校,帮助考生更好地做出选择。 贴吧热点 2025年07月22日 19:20 0 点赞 0 评论 56 浏览
2024下半年四六级成绩出炉!我的分数让我哭笑不得 2024年下半年全国大学英语四、六级考试成绩已公布,本文以个人视角分享了查询成绩的经历以及对分数的反思,并提供了实用的备考建议。 知乎热点 2025年02月26日 10:26 0 点赞 0 评论 105 浏览
东北大学官网变黑白背后的故事 东北大学官网变黑白一事引起广泛关注,文中从东北大学近期动态出发,探讨官网变黑白背后可能的原因,同时展现了东北大学的发展状况及未来前景。 贴吧热点 2025年07月25日 16:46 0 点赞 0 评论 59 浏览
中考复习攻略:如何高效备考,掌握核心技巧 本文从小李的个人视角出发,分享了中考复习的有效策略,包括明确目标、关注热点、夯实基础、强化练习和调整心态等方面,帮助考生全面提升备考效率。 简书热点 2025年03月12日 06:15 0 点赞 0 评论 88 浏览
成都大学‘专本套读’招生?警惕骗局! 近期有关成都大学‘专本套读’招生的消息引起关注,但实际上这是虚假信息。文中提到一些不良中介和个人通过多种手段进行虚假招生宣传,如盗用学校标识、发布虚假广告等。提醒广大学生和家长要警惕此类招生骗局,不要轻信谣言,避免财产损失。 头条热点 2025年08月21日 18:35 0 点赞 0 评论 62 浏览
北邮辟谣硕士招生不实信息:考生如何避免上当受骗? 北邮针对网传2025年硕士招生复试和调剂不实信息发布辟谣声明,提醒考生关注官方渠道,避免上当受骗。本文深入剖析事件背景,并提供实用建议。 微博热点 2025年03月14日 01:13 0 点赞 0 评论 104 浏览
黑龙江高考分数线出炉!2025年考生速看录取线与备考指南 黑龙江2025年高考录取分数线正式公布,普通类本科批次历史类410分、物理类360分。本文提供分数线详情、备考建议及志愿填报注意事项。 抖音热点 2025年06月24日 16:16 0 点赞 0 评论 77 浏览
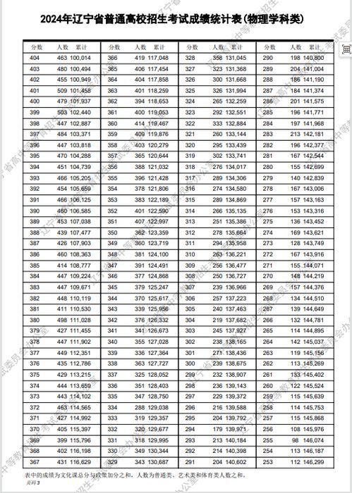
辽宁高考分数线公布!2024年本科线历史类400分,物理类368分 2024年辽宁高考分数线正式公布,普通类本科历史学科类400分,物理学科类368分。本文详细解读分数线划分、查询方式、咨询电话及志愿填报注意事项。 抖音热点 2025年06月24日 18:15 0 点赞 0 评论 87 浏览