减肥药概念火爆,相关概念股上市暴涨200% 减肥药概念在股市市场掀起热潮,相关概念股上市暴涨200%。从6月9日到10月24日,减肥药概念一直保持着强劲的增长势头,吸引众多投资者目光。文中详细分析了减肥药概念的兴起背景、相关企业的表现以及未来发展前景。 36KR热点 2025年08月16日 21:18 0 点赞 0 评论 62 浏览
明星减肥药再度爆红,这次格局变了 本文深入探讨了明星减肥药再度爆红的现象,分析了市场变局、资本市场的表现以及未来展望,提醒消费者理性选择减肥药。 36KR热点 2024年12月01日 20:47 0 点赞 0 评论 116 浏览
揭秘:那些宣称“躺瘦”的减肥药背后有何猫腻? 减肥药市场存在诸多问题,从非法产业链到虚假宣传再到监管难题,还有医生的专业观点,全方位揭示减肥药背后的真相。 腾讯热点 2025年09月10日 10:45 0 点赞 0 评论 56 浏览
司美格鲁肽减肥的真相:副作用不容忽视 司美格鲁肽作为一种热门的减肥药物,虽然具有显著的减肥效果,但也伴随着一系列副作用。本文从个人视角出发,详细探讨了司美格鲁肽的副作用及其背后的原因,并提供了安全使用的建议。 微博热点 2024年12月06日 01:40 0 点赞 0 评论 106 浏览
礼来下调美国市场减肥药价格:一场关于健康的博弈 本文从个人视角出发,深入探讨了礼来下调美国市场减肥药价格的原因及其对行业的影响。文章涵盖了市场竞争、资本市场反应、药物安全性等多个方面,旨在为读者提供全面的视角。 百度热点 2025年02月26日 19:08 0 点赞 0 评论 77 浏览
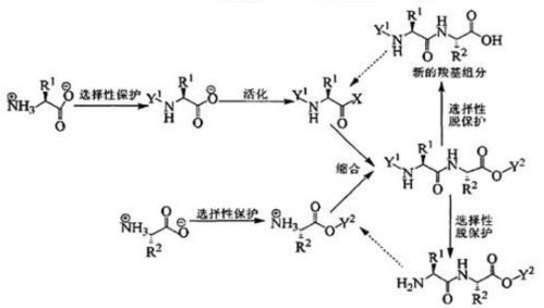
多肽合成Obestatin(rat):GLP-1类药物的未来突破 作为一名热衷于生物科技领域的探索者,他深入研究了Obestatin(rat)在多肽合成中的应用及其对GLP-1类药物发展的推动作用,并分享了对未来医药研发的思考。 简书热点 2025年04月13日 12:25 0 点赞 0 评论 67 浏览
Nature重大突破!新型抗肥胖肽横空出世,或将彻底改变减肥药格局 最新发表于《自然》杂志的研究揭示,斯坦福大学科学家利用AI技术发现一种名为BRP的天然分子,可模拟司美格鲁肽作用却不引发副作用,或将颠覆现有减肥药格局。 简书热点 2025年04月30日 22:55 0 点赞 0 评论 81 浏览
一周市场盘点 | 司美格鲁肽减重新突破 圣贝拉港股上市 约190家企业排队港交所 本周资本市场热点不断,减肥神药司美格鲁肽迎来重大进展,圣贝拉正式登陆港股,港交所排队企业数量持续攀升。本文从个人视角出发,梳理一周重要事件与行业动态。 36KR热点 2025年06月23日 11:47 0 点赞 0 评论 76 浏览
减重版司美格鲁肽在中国正式上市,减肥药市场迎来新变革 丹麦制药巨头诺和诺德旗下用于长期体重管理的‘减重版’司美格鲁肽注射液在中国正式获批上市,这标志着该药物的应用范围进一步扩大,为众多希望减轻体重的人群提供了新的选择。 微博热点 2024年11月17日 14:56 0 点赞 0 评论 123 浏览